株式会社ADEKAにより出願された特許
1 - 10 / 987
難燃性ポリオレフィン系樹脂組成物
Notice: Undefined index: from_cache in /mnt/www/gzt_applicant_list.php on line 189
非水電解液二次電池
Notice: Undefined index: from_cache in /mnt/www/gzt_applicant_list.php on line 189
染料及び着色感光性組成物
Notice: Undefined index: from_cache in /mnt/www/gzt_applicant_list.php on line 189
新規化合物、染料及び着色感光性組成物
Notice: Undefined index: from_cache in /mnt/www/gzt_applicant_list.php on line 189
チルドパン
【課題】バンズ、コッペパン、ロールパン、バターロールのような焼減率が高いパンであって、冷蔵温度において老化現象が起こりにくい、ソフトでしとり感を持続できるチルドパンを提供すること。
【解決手段】穀粉類100質量部に対し、糖類5〜30質量部、油脂類3〜30質量部、水75〜150質量部及び糊化膨潤抑制澱粉1〜22質量部を含有するパン生地を、水分含量が35〜60質量%となるように焼成してなるチルドパン。好ましくは、上記パン生地が親油性乳化剤の水和物を含有する。
(もっと読む)
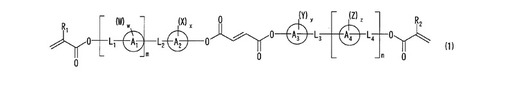
重合性化合物、該重合性化合物を含有する重合性組成物及び該重合性化合物の重合物を含有する重合膜
【課題】機械的強度、配向性等の特性に優れ、かつ重合後の透明性に優れる重合性化合物、該重合性化合物を含有する重合性組成物であって、かかる重合性組成物を硬化して得られる重合膜を薄膜化しても、均一な膜状態を維持し、耐熱性や配向制御及び光学特性に優れる重合性組成物、及び該重合性組成物を重合して得られる重合物を含有する重合膜を提供すること。
【解決手段】下記一般式(1)で表される重合性化合物、該重合性化合物を含有する重合性組成物及び該重合性組成物を重合して得られる重合物を含有する重合膜。
(式中、環A1、A2、A3及びA4は、それぞれ独立に、ベンゼン環、シクロヘキサン環又はナフタレン環を表し、R1及びR2は、それぞれ独立に、水素原子又はメチル基を表す。m及びnはそれぞれ独立に0か1である。)
(もっと読む)
グリシジル基を有するシロキサン化合物を含有する硬化性樹脂組成物
【課題】アルカリ現像が可能で、密着性と耐擦傷性に優れた硬化物が得られ、画像表示装置の画像表示面のハードコート材料として有用な硬化性樹脂組成物を提供すること。
【解決手段】(A)多価アルコールアクリレート化合物、(B)分子中にアクリル基又はメタアクリル基とカルボキシル基とを有する化合物、(C)グリシジル基を有するシロキサン化合物及び(D)光ラジカル発生剤を含有する硬化性樹脂組成物。前記(C)グリシジル基を有するシロキサン化合物は、一般式(1)で表わされる化合物又は一般式(2)で表わされる化合物、特に3−グリシドキシプロピル基を有するシロキサン化合物であることが好ましい。尚、一般式(1)及び(2)は本願明細書に記載の通りである。
(もっと読む)
光拡散性樹脂組成物及びこれを用いた光拡散シート
【課題】光拡散シートに用いた際に、高い演色性及び輝度を実現できる光拡散性樹脂組成物、これを用いた光拡散シート及び光源ユニットを提供すること。
【解決手段】バインダー樹脂(A)を好ましくは1〜80質量%、光拡散剤(B)を好ましくは15〜95質量%、及び一般式(1)、(2)又は(3)で表されるスクアリリウム化合物(C)を好ましくは0.0001〜5質量%含有する光拡散性樹脂組成物を、光拡散シートの光拡散層に用いる。
(もっと読む)
光拡散性樹脂組成物及びこれを用いた光拡散シート
【課題】光拡散シートに用いた際に、高い演色性及び輝度を実現できる光拡散性樹脂組成物、これを用いた光拡散シート及び光源ユニットを提供する。
【解決手段】バインダー樹脂(A)を好ましくは1〜80質量%、光拡散剤(B)を好ましくは15〜95質量%、及び波長域380〜500nmの光を吸収し、波長域470〜630nmにおける蛍光発光量が、波長域305〜956nmにおける蛍光発光量の50%以上であることを特徴とする化合物(C)を好ましくは0.001〜5質量%含有する光拡散性樹脂組成物を、光拡散シート10の光拡散層2に用いる。
(もっと読む)
エポキシ(メタ)アクリレート化合物及び硬化性樹脂組成物
【課題】密着性と耐擦傷性に優れた硬化物が得られ、画像表示装置の画像表示面のハードコート材料として有用な硬化性樹脂組成物を提供する。
【解決手段】(A)多価アルコール(メタ)アクリレート化合物、(B)光ラジカル発生剤又は熱ラジカル発生剤、及び(C)特定の構造を有するエポキシ(メタ)アクリレート化合物、好ましくは更に(D)リン酸(メタ)アクリレート化合物及び/又は(F)他のエポキシ樹脂を含有する硬化性樹脂組成物。
(もっと読む)
1 - 10 / 987
[ Back to top ]

